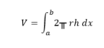
Si una region del plano se gira alrededor de un eje paralelo al eje y, del tal manera que se genere un solido de revolucion, que yendra como diferenciales de volumen capas cilíndricas con su eje en el eje de revolucion.- Entonces el volumen del solido estará dado por:
SUGERENCIAS PARA CALCULARLO:
- Hacer un dibujo de la region que se va a rotar alrededor de un eje.
- Dibujar el je de rotación, si el mismo es paralelo a x su variable de rotación será y, si la rotación es paralelo a y, su variable de rotación será x.
- El radio de la capa cilíndrica se obtiene de la diferencia entre la variable independiente y la constante del eje de rotación.
- La altura de la capa se obtendrá de la diferencia de dos funciones expresadas en términos de la variable de integración.
- Se debe calcular la integral usando los mismos limites de integración que se usarían para calcular el área de la region que se rotara.
Video de teoría de capas cilíndricas
link de video: https://youtu.be/SDhCNt5pTbM
EJERCICIO


No hay comentarios.:
Publicar un comentario